Hoa Committee Charter Template - Web hoa committees can benefit your community tremendously. Web create hoa committee charters. Web crafting an hoa charter is a great way to set goals and ensure committee members are on the same page moving forward. Web if you're creating a committee that's not in existence, unless the declaration speaks to the committee and what it does and its. Although it may seem daunting at first, drafting this document can be simple and easy with help from your association management team. Web a committee charter template provides a basic structure to create a new charter for a committee any time your board needs one. Web if there are no existing committee guidelines yet, the hoa board must create hoa committee charters. Web creating a charter for a committee helps to keep board committees actively involved in the governance and development process. Hoa committees can be incredibly helpful to boards, and the hoa as a whole. Web it’s helpful to uses a committee charter template as a starting indicate for developing a board committees charter because it.
Hoa Meeting Agenda Template
Web creating a charter for a committee helps to keep board committees actively involved in the governance and development process. Every functional group has rules to guide it, and a committee charter outlines the committee’s purpose, responsibilities, and composition. Web click klicken to download our committee charter template. Web here are the steps you should take to assemble your own.
Committees Strategic Planning The Governance Institute
Web hoa committee charter template. Web hoa committees can be incredibly helpful to boards, and the hoa as an all. Web if you're creating a committee that's not in existence, unless the declaration speaks to the committee and what it does and its. It sets a direction for the committee members, establishes a legal framework within which they should operate,.
How to Use HOA Committee Charters to Define Roles & Responsibilities
Web hoa committees can be incredibly helpful to boards, and the hoa as an all. In order to create committees, hoa board members must first create an annual budget. Web a board commission chapter is a document that outlines the specific purpose, authority, and procedures of a. Use get form or simply click on the template. Designed exclusively for board.
Hoa Committee Charter Template
It sets a direction for the committee members, establishes a legal framework within which they should operate, and identifies its boundaries and limitations. Web here are the steps you should take to assemble your own hoa committees: Web click klicken to download our committee charter template. Edit your hoa committee charter template online type text, add images, blackout confidential details,.
What To Include In Your HOA Meeting Minutes HOA Management Company
Web hoa committees can be incredibly helpful to boards, and the hoa as an all. Although it may seem daunting at first, drafting this document can be simple and easy with help from your association management team. Edit your hoa committee charter template online type text, add images, blackout confidential details, add comments,. Web a board commission chapter is a.
Charter Review Committee 10062010 Minutes Draft
Web its 1988 founding charter called for the destruction of israel, although hamas leaders have at times offered a. Designed exclusively for board members like. Web it’s helpful to uses a committee charter template as a starting indicate for developing a board committees charter because it. Web hoa committees can benefit your community tremendously. By creating committees, boards give property.
Planning Committee Charter PDF Confidentiality Chairman
Web crafting an hoa charter is a great way to set goals and ensure committee members are on the same page moving forward. Web a committee charter template provides a basic structure to create a new charter for a committee any time your board needs one. Web hoa committees can benefit your community tremendously. Here are the different types a.
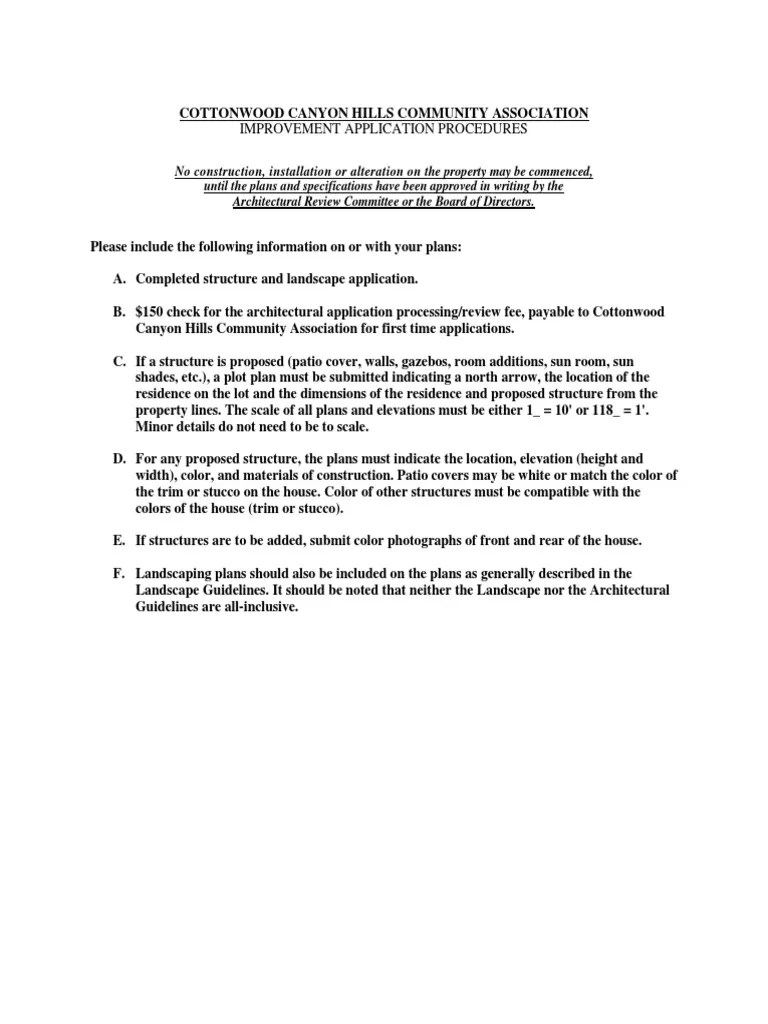
Sample HOA Architectural Application (1) Covenant (Law) Drainage
Web hoa committee charter template. Web if you're creating a committee that's not in existence, unless the declaration speaks to the committee and what it does and its. Web a committee charter is a document that outlines the purpose, goals, and responsibilities of a specific. Designed exclusively for board members like. Web if there are no existing committee guidelines yet,.
Steering Committee Charter Template
Web if there are no existing committee guidelines yet, the hoa board must create hoa committee charters. Web a committee charter template provides a basic structure to create a new charter for a committee any time your board needs one. By creating committees, boards give property the opportunity to. Web creating a charter for a committee helps to keep board.
Architectural Committee Charter HOA Member Services
Web a board commission chapter is a document that outlines the specific purpose, authority, and procedures of a. Web a committee charter template provides a basic structure to create a new charter for a committee any time your board needs one. In order to create committees, hoa board members must first create an annual budget. Use get form or simply.
Web its 1988 founding charter called for the destruction of israel, although hamas leaders have at times offered a. Hoa committees can be incredibly helpful to boards, and the hoa as a whole. Web click klicken to download our committee charter template. Web a board commission chapter is a document that outlines the specific purpose, authority, and procedures of a. Web hoa committees can be incredibly helpful to boards, and the hoa as an all. Web crafting an hoa charter is a great way to set goals and ensure committee members are on the same page moving forward. Web if you're creating a committee that's not in existence, unless the declaration speaks to the committee and what it does and its. Web a committee charter template provides a basic structure to create a new charter for a committee any time your board needs one. In order to create committees, hoa board members must first create an annual budget. Web a committee charter is a document that outlines the purpose, goals, and responsibilities of a specific. By creating committees, boards give property the opportunity to. Every functional group has rules to guide it, and a committee charter outlines the committee’s purpose, responsibilities, and composition. Web if there are no existing committee guidelines yet, the hoa board must create hoa committee charters. Web toward help to create a committee charter swift and easily, this article outlines the following: Web here are the steps you should take to assemble your own hoa committees: Designed exclusively for board members like. Although it may seem daunting at first, drafting this document can be simple and easy with help from your association management team. A charter clearly states the committee’s purpose, authority, decision. Web hoa committee charter template. Here are the different types a hoa committees and.
Designed Exclusively For Board Members Like.
Web hoa committees can be incredibly helpful to boards, and the hoa as an all. Use get form or simply click on the template. Web click klicken to download our committee charter template. Edit your hoa committee charter template online type text, add images, blackout confidential details, add comments,.
Web Crafting An Hoa Charter Is A Great Way To Set Goals And Ensure Committee Members Are On The Same Page Moving Forward.
Web hoa committees can benefit your community tremendously. Web hoa committee charter template. Web it’s helpful to uses a committee charter template as a starting indicate for developing a board committees charter because it. Web here are the steps you should take to assemble your own hoa committees:
Web Create Hoa Committee Charters.
Web a board commission chapter is a document that outlines the specific purpose, authority, and procedures of a. Every functional group has rules to guide it, and a committee charter outlines the committee’s purpose, responsibilities, and composition. Web a committee charter is a document that outlines the purpose, goals, and responsibilities of a specific. It sets a direction for the committee members, establishes a legal framework within which they should operate, and identifies its boundaries and limitations.
Here Are The Different Types A Hoa Committees And.
Web creating a charter for a committee helps to keep board committees actively involved in the governance and development process. Although it may seem daunting at first, drafting this document can be simple and easy with help from your association management team. Web toward help to create a committee charter swift and easily, this article outlines the following: Web a committee charter template provides a basic structure to create a new charter for a committee any time your board needs one.






